Deep Learning For Chinese Breaking Supporting tagline
这篇博客的目的是描述我的想法和一些已经完成的工作,所以尽量不出现任何公式。
深度学习在中文分词中的应用
现在在机器学习领域,最热的词当属深度学习(Deep Learning)。因为我个人的兴趣在自然语言处理——相比机器学习来说,机器学习就像理科,NLP感觉就像工科——所以我决定要将深度学习应用到中文分词。
应用Word2Vec表示字与词
深度学习最重要的观点,是Feature Representation,这个不好翻,但是很容易理解。以前,我们都说,要开发一个机器学习应用,最难的部分是特征的选择。针对不同的应用,要设计不同的特征,以及对应的特征提取方法。但是Deep Learning不需要开发人员设计特别的特征,深度学习就是专门学习特征的。
关于特征的问题,就不展开说了,这里重要的是,表示一个字或者词的特征是什么?简单的说,是一个向量。例如:
- 张: [0.122, -0.3123, ..., 0.0053, ...]
- 王: [0.212, -0.0231, ..., 0.0103, ...]
但是这个向量怎么来的呢?是基于深度学习的方法自动学习生成的。Word2Vec是一个基于神经网络实现的深度学习库,主要的功能是根据字或词的上下文,自动学习词的特征表示。
我首先简单重写了Word2Vec,考虑到google code已经不复存在了,托管在上面的Word2Vec也很久没人更新了,同时其代码也非常晦涩难懂。于是我重写在我的分词项目中:https://github.com/yingrui/mahjong
这里有广告之嫌,没错,这就是广告:-) Word2Vec是什么具体就没必要在这篇博客中写了,因为参考一手资料一直是我老婆推荐的学习方法。但是有一点,Mikolov提出的一些新的训练方法,都没有在Word2Vec中实现,有兴趣的同学可以继续完善这个库。
结合Word2Vec实现中文分词
中文分词de概率模型
使用向量来表示字与词,那怎么实现中文分词呢?首先我们要先来看一个简单的概率模型。

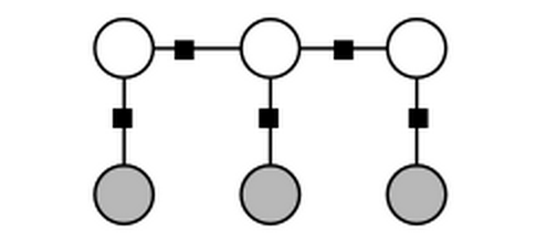
这个图描述的是现有的CRF分词的概率模型。下面一列是字,上面一列是字的标注,标注一般有四个:Begin表示当前字是一个词的开头,Middle表示当前字是一个词的中间,End表示当前字是词的结尾,Single表示当前字就是一个单字词。
如果输入字串是:
- 我爱你,那分词结果就是:我/S 爱/S 你/S
- 北京欢迎你,那分词结果就是:北/B 京/E 欢/B 迎/E 你/S
- 思特沃克在中国,那分词结果就是:思/B 特/M 沃/M 克/E 在/S 中/B 国/E
以“我爱你”为例,在以上图模型里,我们要计算的是当Label1,Label2,Label3分别为什么,以下算式的结果最大,也即概率最大:
P(Label1=? | Word=我) x P(Label1=? | Position=居首) x P(Label2=? | Word=爱) x P(Label2=? | LastLabel=Label1) x P(Label2=? | Word=你) x P(Label3=? | LastLabel=Label2)
我们知道CRF模型可以分别计算P(Label1=? | Word=我),P(Label1=? | Position=居首)。。。然后再使用Vitebi算法就可以算出来我/S 爱/S 你/S是最佳的结果。
使用Softmax计算概率分布
那么再回过头来看使用深度学习的方法,怎么计算P(Label1=? | Word=我)呢?一张图读懂Softmax:

没错,只要使用经过Word2Vec学习到的向量来表示字,再使用Softmax分类器来学习概率,我们就能计算出P(Label1=? | Word=我)。然后再按照以上描述的方法,计算出最佳的Label序列是什么?是不是很简单?
实验结果
我也基本实现了上面描述的方法,因为最近比较忙,没有时间计算大规模的语料,所以只是计算了10万字规模的语料!分类准确率可以接近94%。
这个结果我就只能呵呵了,但是我还有杀手锏没有使出来,等过两天有时间了,再来挑战。到时候更新详细的方法,带公式的,哈哈:-D
blog comments powered by Disqus